03 单向链表
单向链表
单向链表是一种线性数据结构,其每个节点包含数据和指向下一节点的指针。适用于频繁插入和删除操作的场景。
简介
链表(linked list)的组成单位是节点(node)对象。每个节点都包含两项数据:节点的“值”和指向下一节点的“引用”。
链表的首个节点被称为“头节点”,最后一个节点被称为“尾节点”
单向链表的最后一个节点指向“空”,表示链表的结束;在 Java、C++ 和 Python 中分别记为
null、nullptr和None在 C、C++、Go、Rust 等支持指针的语言中,“引用”应替换为“指针”
引用记录了下一节点的内存地址,通过它可以从当前节点访问到下一节点

核心特性
动态大小:链表可以动态增长和缩小,无需预先定义大小
非连续性存储:节点在内存中分散存储,通过指针相连
单向性:每个节点只知道下一节点在哪里,不知道上一节点
顺序访问:必须从头节点开始,沿着指针逐个访问节点
无索引访问:不能像数组那样通过索引直接访问元素
基本操作
时间复杂度分析
基础实现
// 定义节点类
class Node {
int data; // 数据域
Node next; // 指针域,指向下一个节点
// 构造函数
public Node(int data) {
this.data = data;
this.next = null;
}
}
// 单向链表类
class SinglyLinkedList {
private Node head; // 头节点
// 构造函数,创建一个空链表
public SinglyLinkedList() {
this.head = null;
}
// 判断链表是否为空
public boolean isEmpty() {
return head == null;
}
// 在链表头部插入节点
public void insertAtHead(int data) {
Node newNode = new Node(data);
if (isEmpty()) {
head = newNode;
} else {
newNode.next = head;
head = newNode;
}
}
// 在链表尾部插入节点
public void insertAtTail(int data) {
Node newNode = new Node(data);
if (isEmpty()) {
head = newNode;
return;
}
Node current = head;
// 找到最后一个节点
while (current.next != null) {
current = current.next;
}
current.next = newNode;
}
// 在指定位置插入节点
public void insertAtPosition(int data, int position) {
// 位置无效
if (position < 0) {
System.out.println("位置无效");
return;
}
// 插入位置为0,相当于在头部插入
if (position == 0) {
insertAtHead(data);
return;
}
Node newNode = new Node(data);
Node current = head;
Node previous = null;
int count = 0;
// 找到要插入位置的前一个节点
while (current != null && count < position) {
previous = current;
current = current.next;
count++;
}
// 如果position超出链表长度,则插入到尾部
previous.next = newNode;
newNode.next = current;
}
// 删除第一个值为data的节点
public void delete(int data) {
// 链表为空
if (isEmpty()) {
System.out.println("链表为空,无法删除");
return;
}
// 删除的是头节点
if (head.data == data) {
head = head.next;
return;
}
// 删除的不是头节点
Node current = head;
Node previous = null;
// 查找要删除的节点
while (current != null && current.data != data) {
previous = current;
current = current.next;
}
// 如果找到了要删除的节点
if (current != null) {
previous.next = current.next;
} else {
System.out.println("未找到要删除的元素");
}
}
// 查找节点
public boolean search(int data) {
if (isEmpty()) {
return false;
}
Node current = head;
while (current != null) {
if (current.data == data) {
return true;
}
current = current.next;
}
return false;
}
// 打印链表
public void display() {
if (isEmpty()) {
System.out.println("链表为空");
return;
}
Node current = head;
while (current != null) {
System.out.print(current.data + " -> ");
current = current.next;
}
System.out.println("null");
}
// 获取链表长度
public int size() {
int count = 0;
Node current = head;
while (current != null) {
count++;
current = current.next;
}
return count;
}
}
// 使用示例
public class LinkedListDemo {
public static void main(String[] args) {
SinglyLinkedList list = new SinglyLinkedList();
list.insertAtTail(10);
list.insertAtTail(20);
list.insertAtTail(30);
list.insertAtHead(5);
list.display(); // 输出: 5 -> 10 -> 20 -> 30 -> null
list.insertAtPosition(15, 2);
list.display(); // 输出: 5 -> 10 -> 15 -> 20 -> 30 -> null
list.delete(15);
list.display(); // 输出: 5 -> 10 -> 20 -> 30 -> null
System.out.println("查找结果: " + list.search(20)); // 输出: 查找结果: true
System.out.println("链表长度: " + list.size()); // 输出: 链表长度: 4
}
}
优缺点
优点
动态大小:链表可以根据需要动态分配内存,不需要预先定义大小
插入和删除高效:在已知位置插入或删除节点的时间复杂度为 O(1)
内存利用灵活:不需要连续的内存空间,可以充分利用可用内存
实现简单:基本操作实现相对简单直观
缺点
随机访问低效:无法通过数组那样通过索引直接访问元素,必须从头开始遍历
额外内存开销:每个节点除了存储数据外,还需要存储指针,增加了内存消耗
缓存不友好:由于内存不连续,不能有效利用 CPU 缓存,可能导致性能下降
反向遍历困难:单向链表不支持反向遍历
应用场景
作为其他数据结构的基础:
栈与队列
哈希表
图
历史记录
撤销功能:编辑器撤销操作
扩展
双向链表
循环链表(环形链表)
热门题目
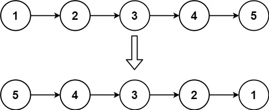
206. 反转链表
给你单链表的头节点 head ,请你反转链表,并返回反转后的链表。
示例:

输入:head = [1,2,3,4,5]
输出:[5,4,3,2,1]
题解:
双指针(迭代)
遍历链表时,修改各节点的引用指向
/**
* Definition for singly-linked list.
* public class ListNode {
* int val;
* ListNode next;
* ListNode() {}
* ListNode(int val) { this.val = val; }
* ListNode(int val, ListNode next) { this.val = val; this.next = next; }
* }
*/
class Solution {
public ListNode reverseList(ListNode head) {
ListNode pre = null;
ListNode cur = head;
while (cur != null) {
ListNode nextTemp = cur.next; // 暂存下一节点
cur.next = pre; // 反转当前节点指针
pre = cur; // 移动 pre 指针
cur = nextTemp; // 移动当前节点 cur 指针
}
return pre; // 最终 pre 指向新链表的头节点
}
}
###
#数据结构(3)评论